麻辣社区-四川第一网络社区

校外培训 高考 中考 择校 房产税 贸易战
阅读: 2378|评论: 0

[散文随笔] 汉阳人张坦麟奏折部分撷英 蒂尕字禺草

[复制链接]

发表于 2018-5-1 16:55 | 显示全部楼层 |阅读模式
      作为雍正皇帝的近臣,汉阳柏泉人张坦麟一生的故事很多,仅他辞官回乡在蔡甸租房住的故事,就够说一阵。在蔡甸三十余年,他足迹不入府城(汉阳府),仅与两三个布衣时的旧友交往,诗酒唱酬、教书育人、不再过问政事,悠闲自得多年而卒,享年七十八岁。
      他生平著作很多,但因为官清廉,无力刊行,现存者仅为传抄下来的散帙。

       初任户部主事,综合考核为“精勤”,故为赵恭毅、张清恪大司农所器重,推荐他任通州仓监督。雍正元年(1723年),累升迁至鸿胪寺卿,三年授两淮盐运使,五年晋升江苏布政使。在江苏与巡抚陈时夏意见不合,六年正月调山东时,陈指使江苏新任布政使赵向奎擅造伪证,勒赔巨额银两,以阻止其赴任。清世宗(雍正皇帝)震怒,将陈时夏贬任山东布政使,而让张坦麟任山东巡抚,在陈之上。七月补任内阁学士,仍留山东,八月移任江西。七年闰七月应召回京,十一月奉命往南河,会同河道总督孙毓恂协办高堰工程。八年母亲去世,奏请回籍奔丧,经讨论,令其在工守制(即在任上服丧),直至十年工程竣工,才回籍服丧。十一年正月,浙江修筑海塘出现问题,张坦麟奉命前往襄办。海塘修筑会总理大臣程元章与副都统隆升意见分歧,不接受张坦麟的意见建议,致使塘工屡溃,经部讨论,拟将张坦麟降一级调用。世宗旨意:从宽免其调用,仍令其督修海塘工程。乾隆元年(1736年),程元章、隆升被解职,以大学士稽曾筠总理海塘工程,仍留张坦麟襄办。二年正月回京城,不久任仓场侍郎,五月拔任江苏巡抚,八月,出任安徽按察使,因疾病去职还乡。

      张坦麟生性严谨,勤于政事。在通州仓任职,廒座整齐坚固,粮食毫无亏损,已得清世宗欢心。及被破格提拔,委以财赋重任,剔除弊端,一尘不染,便引起庸官们的忌妒,引发赴山东时的勒赔事件。清世宗明察是非,再次破格提拔。旷遇殊恩,张坦麟忘身感奋,遇事不避嫌怨,最后遭到庸官们朋比排挤,孤立无援,年届花甲,忧愤成疾。张坦麟历官政绩以及奏议都随皇帝的朱批谕旨保存在皇家档案中。

      现将他的奏折和“中央研究院历史语言研究所”藏明清史料部分撷英如下:



张坦麟《奏谢署理江苏巡抚印务疏》

  奏为天恩高厚,恭折奏谢事。

  窃臣一介庸愚,识见浅狭,奉特旨著臣署理苏州巡抚印务,除望阙叩头具疏奏谢外,伏念臣筮仕部曹,监督仓庾,蒙皇上拔于稠人之中,置诸卿贰之列,旋命司鹾两淮,司藩江省,今更叨恩命,畀以封疆重任。臣自揣何人,屡邀异数,即肝脑涂地,亦臣心之所甘,而臣分之所宜。且臣于监督任内,应赔米八千余石,蒙皇上慈鉴宽免。续于运使任内,复荷两次恩赏银两。今当藩库交代之际,陈时夏必欲勒臣额外赔银三万余两,若非皇上睿照无遗,臣即鬻尽家产,竭髓碎身,终于无补。是我皇上之保全微臣至再至三。闻命之日,臣率举家老幼百叩天恩。臣自顾年近五十,尚无子息,不敢萌求田问舍之心、为子孙封殖之计。倘臣日后有子,即此圣恩保全之家产与叠次之赏赐,已足为世世子孙留贻温饱,感颂无疆矣。臣惟有益矢精白,勉竭驽骀,上报皇上委任之至意。为此缮折恭谢。谨奏。



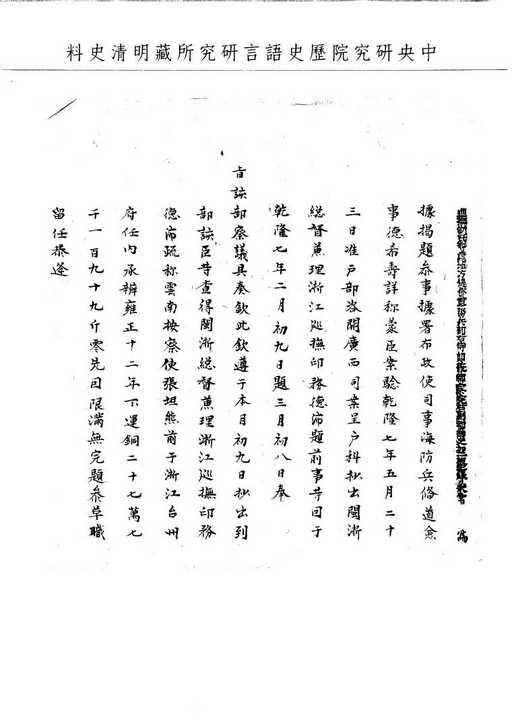
张坦麟《奏陈江省钱漕刑名积弊疏》(节选)

  奏为据实胪陈恭请睿鉴事。

  窃查江省各属征收钱粮,纳户里书有花分之弊,有诡寄之弊,有飞洒之弊,皆由蠹役排年包揽侵蚀。按册原非的名,摘征又无实在,以致年年压欠,陈陈相因。此钱粮之积弊所当亟为剔除者也。又下江旧欠,自康熙五十一年起至雍正元年止,共六百九十余万两。经前抚臣张楷题准分作十年,十二、十五等年带征。其有实欠在民,田仍原主管业者,尚不难征比。若原田屡易售主,产户已非的名,甚至迁徙逃亡,无可根追。更有里蠹通同侵收,捏开诡名欠户,经征各官,新旧兼征,每不能彻底清查。故催追二年而照数征完者十不过二三。若届限不参,则将来玩误惰征,愈不可问。如尽行照例参处,则革任必多,而接征之官,更难措手。此带征之民欠所当亟为清厘者也。

  又如各属刑名事件,例有定限。江省积习,案件多不速结。每每待参迟延,拖毙人命,势所不免。更有自理词讼,不遵例限速完,以致原被证佐候审日久,奸役乘机高下其手。役既犯赃,官罹失察。此审案之积玩,所当亟为振刷者也。又如聚从哄堂,挟官抗粮,此等习染,深可痛恶。雍正五年四月内,有震泽县乡民杨秀林等打闹公堂一案。本年二月内,有嘉定县粮户张三等,聚众拆毁四门吊桥一案。四月内,有福泉县衙役戈祖顺等,聚闹公堂、拆毁暖阁一案。前抚臣陈时夏自必一一奏闻。兹六月二十三日,又有无锡县乡民聚众抢去欠粮枷犯薛浩等一案。臣抵任后,据报当行藩臬二司严拿究审,俟查询得实,或具折奏闻,或题请究治。此又江省之刁风,所当亟为惩创者也。

  总因各属上智者少而中材者多,繁剧之区,不堪肆应,以致幕客之操权,蠹胥之舞弊,上下相蒙,习惯因循而不克整理。臣俯揣谫陋,重沐皇上隆恩,不敢不竭蹷厘剔以尽厥职。奈臣报效有心,而才识短浅,封疆重任,恐难负荷。伏恳圣主另简贤员,俾臣得免复之虞,而于地方事务,亦大有裨益矣。谨奏。


QQ图片20141209221959.jpg
QQ图片20141209222007.jpg
QQ图片20141209222014.jpg
QQ图片20141209222021.jpg
QQ图片20141209222027.jpg
QQ图片20160814094949.jpg

QQ图片20160814095130.jpg

QQ图片20160814095147.jpg


QQ图片20160814095151.jpg


QQ图片20160814095155.jpg


QQ图片20160814095212.jpg


注:  张坦麟(1678—1755),字画臣,汉阳县丰乐里(今东西湖区柏泉农场)人。清康熙五十年(1711年)举人,雍正元年进士。张氏家谱光绪二十年版
打赏

微信扫一扫,转发朋友圈

已有 0 人转发至微信朋友圈

   本贴仅代表作者观点,与麻辣社区立场无关。
   麻辣社区平台所有图文、视频,未经授权禁止转载。
   本贴仅代表作者观点,与麻辣社区立场无关。  麻辣社区平台所有图文、视频,未经授权禁止转载。
高级模式 自动排版
您需要登录后才可以回帖 登录 | 注册

本版积分规则

复制链接 微信分享 快速回复 返回顶部 返回列表 关闭