麻辣社区-四川第一网络社区

校外培训 高考 中考 择校 房产税 贸易战
阅读: 8410|评论: 8

[四川群众呼声] 江枫国际诸多问题,需要处理

[复制链接]

发表于 2019-3-14 17:34 | 显示全部楼层 |阅读模式
尊敬的巡视组的各位领导,你们好:
我们是嘉陵西路弘泰江枫国际的业主,此小区于2015年完工,自各业主入住小区以来,由于开发商及物业公司在房屋手续和硬件完善等方面的不作为,对广大业主的财产安全,生存环境的肆意践踏,已让广大业主的切身利益蒙受直接的损失,现将具体情况及业主心声向领导反应如下:
一丶房产办理至今无果
江枫国际由南充弘泰房地产开发有限责任公司开发建设,宗地面积397892,规划许可总建筑面积106069.42,但该项目部分与规划方案不符,临嘉陵西路侧地下车库规划为半地下室,开发商擅自提高标高,修建为地上建筑并作为工程款抵押,目前被作为商业门面使用,部分地下车库修建为住房格局,擅自调整公共配套用房位置,原规划位置变更为商业使用,(此为之前,部分业主多次上诉政府及建设局给于我们的回复,由此导致无法办理相关手续,一拖再拖,至今无果,不能取得相关手续与证件)。
二丶抵押房全款购房至今未解押
     据不明统计,小区内仍有至少30户目前房屋还处于抵押中,并且均为全款,购房者全款交付,对方至今都没有办理解押,也就是说我们辛苦大半辈子的血汗钱买来的房子到现在都还不是自己的。(除此以外,抵压户没有定购合同,只有一张定购协议书及收据,还有其他全款的业主均是如此)。
三丶物业不作为
1.建筑区规划内,规划用于停放汽车的车位,车库应当首先满足业主的需要,建筑规划内,规划用于停放汽车的车位,车库的归属,由当事人通过出售。附赠或者出租的方式约定,占用业主共有的道路或者其他场地用于停车的车位,属于业主共有。但此前,物业通过催收,拦车等行为向业主收取停车费。设置拦车杆不让业主的车进入小区,然而地下停车场及小区道路两边均停放诸多外界人士的车辆。
2.小区旁边有一周口小学,物业未征求业主意见私自与小学达成协议占用小区道路以设侧门为其方便,除正大门外,仅有一处约一米宽的进出口供业主进出。小区安保问题频繁发生,外来陌生人随意进出,敲门推销,使居民生活严重受扰。
3.小区内多处道路坑坑洼洼,未予修缮,垃圾成堆,使居民的生活质量逐步下降。(多数房屋出现开裂,漏水等现象,均未处理)很多业主之前缴了契税却未得到有效契证,至今契税不知所向。

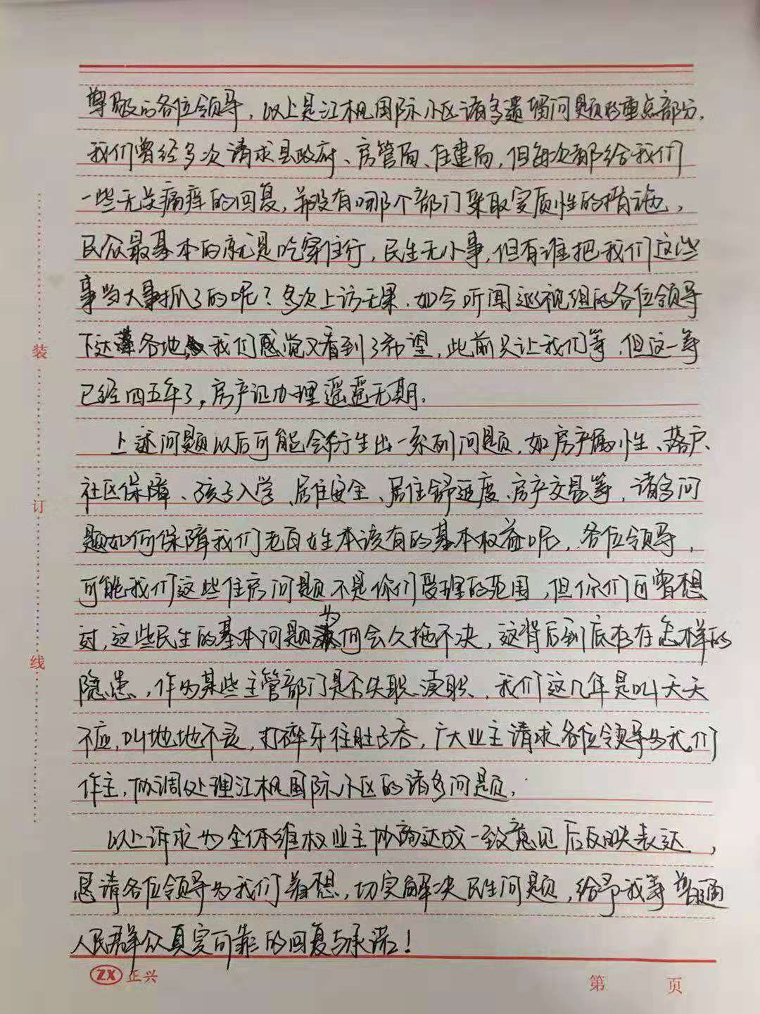
尊敬的各位领导,以上是江枫国际小区诸多遗留问题的重点部分。我们曾经多次请求县政府,房管局,住建局,但每次都给予我们一些无关痛痒的回复,并没有哪个部门采取实质性的措施。民众最基本的就是吃穿住行,民生无小事,但有谁把我们这些事当大事抓了呐?多次上访无果,如今听闻巡视组的各位领导下达各地,我们感觉又看到了希望,此前只让我们等,但这一等已经四年了,房产证办理遥遥无期。
      上述问题以后可能会衍生出一系列问题。如房产属性,落户,社区保障,孩子入学,居住安全,居住舒适度,房产交易等。诸多问题,如何保障我们老百姓本该有的基本权益呐?各位领导,可能我们这些住房问题不是你们受理的范围,但你们可曾想过,这些民生的基本问题为何会久拖不决?这背后到底存在怎样的隐患,作为某些主管部门是否失职,渎职。我们这几年是叫天天不应,叫地地不灵。打碎牙往肚子里吞。广大业主请求各位领导为我们做主,协调处理江枫国际小区的诸多问题。
     以上诉求为全体维权业主协商达成一致意见后反映表达,恳请各位领导为我们着想,切实解决民生问题,给予我等普通人民群众真实可靠的回复与承诺! 微信图片_20190314172927.jpg 微信图片_20190314172936.jpg 微信图片_20190314172941.jpg 微信图片_20190314172946.jpg 微信图片_20190314173009.jpg 微信图片_20190314173014.jpg

微信图片_20190314173018.jpg
微信图片_20190314173023.jpg
打赏

微信扫一扫,转发朋友圈

已有 67 人转发至微信朋友圈

   本贴仅代表作者观点,与麻辣社区立场无关。
   麻辣社区平台所有图文、视频,未经授权禁止转载。
   本贴仅代表作者观点,与麻辣社区立场无关。  麻辣社区平台所有图文、视频,未经授权禁止转载。

发表于 2019-3-14 17:43 | 显示全部楼层

发表于 2019-3-14 17:58 来自麻辣社区客户端 | 显示全部楼层

发表于 2019-3-14 20:29 来自麻辣社区客户端 | 显示全部楼层
政府不作为,又会像前几次一样,用官话简单回答就不了了之了……这就是现在的政府,悲哀……

2025优秀版主 2014年度优秀版主 2015年优秀版主 2016年优秀版主 2017年优秀版主 2018年优秀版主 2019年优秀版主 2021年优秀版主 2022年优秀版主 2024年优秀版主

发表于 2019-3-14 21:29 | 显示全部楼层

发表于 2019-3-15 12:15 来自麻辣社区客户端 | 显示全部楼层
发表于 2019-3-15 12:58 来自麻辣社区客户端 | 显示全部楼层

发表于 2019-3-15 13:28 来自麻辣社区客户端 | 显示全部楼层

发表于 2019-3-18 17:28 | 显示全部楼层
请相关部门加大力度解决。
高级模式 自动排版
您需要登录后才可以回帖 登录 | 注册

本版积分规则

复制链接 微信分享 快速回复 返回顶部 返回列表 关闭