麻辣社区-四川第一网络社区

校外培训 高考 中考 择校 房产税 贸易战
阅读: 9258|评论: 1

阆中市市场监管局食品抽检结果公示(第四期)

[复制链接]

发表于 2019-9-10 19:13 | 显示全部楼层 |阅读模式

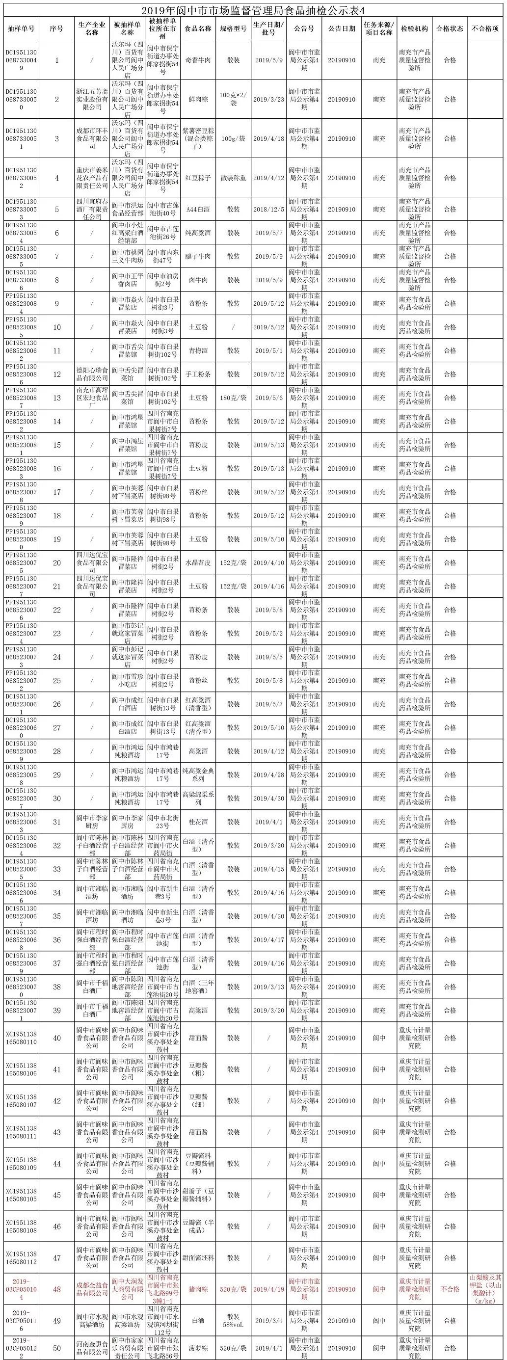
近期,阆中市市场监督管理局在全市范围内抽检了乳酪风味月饼、广式椒盐月饼、潮式莲蓉蛋黄月饼、腱子牛肉、奇香牛肉、卤牛肉、鲜肉粽、猪肉粽、菠萝粽、叉烧粽、红豆粽子、手工粉条、土豆粉、苕粉条、苕粉丝、水晶苕皮、手工火锅粉、手工豌豆粉丝、散装白酒、高粱酒、甜面酱、豆瓣酱、蜂蜜、奶香曲奇、黄花菜、焦糖味瓜子、五香黑皮蛋、卤水、卤猪耳、卤猪蹄、卤小肚、卤鸡、火锅底料、红糖馒头、豆瓣、油条、馓子、鲜橙汁、大叔奶茶、配制型含乳饮料、新西兰奇异果汁、椰汁、酸奶饮品、吐司面包、蛋糕、鲜鸭蛋等151批次食品。经四川省食品药品检验检测院、南充市产品质量监督检验所、南充市食品药品检验所、重庆市计量质量检测研究院检验,合格142批次,不合格9批次。

不合格食品情况如下:

1.阆中大润发大商贸有限公司销售的猪肉粽按照标准检验,山梨酸及其钾盐(以山梨酸计)(g/kg)项目不符合标准要求。

2.阆中市妙厨渣渣面食府销售的卤猪头肉按照标准检验,亚硝酸盐(以亚硝酸钠计)项目不符合标准要求。

3.阆中市妙厨渣渣面食府销售的卤猪小肚按照标准检验,亚硝酸盐(以亚硝酸钠计)项目不符合标准要求。

4.阆中市王均白酒门市部销售的52°高粱大曲(清香型)按照标准检验,酒精度项目不符合标准要求。

5.阆中市王记顺发副食品店销售的高粱王(清香型白酒)按照标准检验,酒精度项目不符合标准要求。

6.阆中市罗氏明镜小吃店销售的油条按照标准检验,铝的残留量(干样品,以Al计)项目不符合标准要求。

7.阆中市晓蓉卤菜店销售的卤猪头肉按照标准检验,山梨酸及其钾盐项目不符合标准要求。

8.阆中市弘乐食品有限公司生产的桂花蒸馍按照标准检验,丙酸及其钠盐、钙盐(以丙酸计)项目不符合标准要求。

9.阆中市弘乐食品有限公司生产的白糖蒸馍按照标准检验,丙酸及其钠盐、钙盐(以丙计算)、菌类总数项目不符合标准要求。

对上述食品监督抽检中发现的不合格食品,我局已按照《中华人民共和国食品安全法》、《食品安全抽样检验管理办法》等规定开展核查处置,并责令违法经营者召回不合格食品,彻查问题原因、全面整改。

本次公示只对所抽检批次负责。

打赏

微信扫一扫,转发朋友圈

已有 74 人转发至微信朋友圈

   本贴仅代表作者观点,与麻辣社区立场无关。
   麻辣社区平台所有图文、视频,未经授权禁止转载。
   本贴仅代表作者观点,与麻辣社区立场无关。  麻辣社区平台所有图文、视频,未经授权禁止转载。
发表于 2019-9-11 10:16 | 显示全部楼层
发展始终才是主流!
高级模式 自动排版
您需要登录后才可以回帖 登录 | 注册

本版积分规则

复制链接 微信分享 快速回复 返回顶部 返回列表 关闭