麻辣社区-四川第一网络社区

校外培训 高考 中考 择校 房产税 贸易战
阅读: 7377|评论: 13

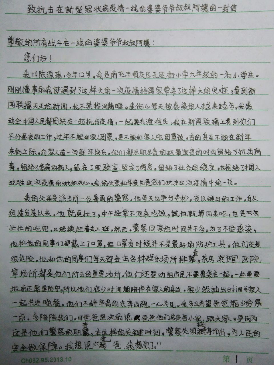
南充顺庆孔迩街小学学生写给抗击疫情一线的婆婆爷爷叔叔阿姨的一封信!

[复制链接]

写给抗击疫情一线的婆婆爷爷叔叔阿姨的一封信!
20200202_7674633_1580640566017.jpg
20200202_7674633_1580640566630.jpg
打赏

微信扫一扫,转发朋友圈

已有 59 人转发至微信朋友圈

   本贴仅代表作者观点,与麻辣社区立场无关。
   麻辣社区平台所有图文、视频,未经授权禁止转载。
   本贴仅代表作者观点,与麻辣社区立场无关。  麻辣社区平台所有图文、视频,未经授权禁止转载。

发表于 2020-2-3 08:38 | 显示全部楼层

发表于 2020-2-3 09:28 | 显示全部楼层

发表于 2020-2-3 12:15 来自麻辣社区客户端 | 显示全部楼层

发表于 2020-2-3 12:23 来自麻辣社区客户端 | 显示全部楼层

发表于 2020-2-3 13:01 来自麻辣社区客户端 | 显示全部楼层
有为人民服务的父,就能培养出更能为人民服务的孩子。点赞!

发表于 2020-2-3 13:05 来自麻辣社区客户端 | 显示全部楼层
有为人民服务的父母作榜样,就能培养一个更能为人民服务的孩子。点赞!

发表于 2020-2-3 18:52 来自麻辣社区客户端 | 显示全部楼层
点赞

发表于 2020-2-3 19:06 | 显示全部楼层

发表于 2020-2-3 19:44 | 显示全部楼层
好孩子,祝你学习进步,将来成为祖国栋梁!
发表于 2020-2-4 00:47 来自麻辣社区客户端 | 显示全部楼层

发表于 2020-2-10 11:32 | 显示全部楼层
好孩子。
发表于 2020-2-10 12:51 | 显示全部楼层
小朋友,你真棒!!

发表于 2020-2-10 17:31 | 显示全部楼层
高级模式 自动排版
您需要登录后才可以回帖 登录 | 注册

本版积分规则

复制链接 微信分享 快速回复 返回顶部 返回列表 关闭