麻辣社区-四川第一网络社区

校外培训 高考 中考 择校 房产税 贸易战
阅读: 6622|评论: 13

[草根·播报] 小县城就业压力大

[复制链接]

发表于 2021-9-2 10:02 | 显示全部楼层 |阅读模式
单位的合同工都这么多人报名,有点搞不懂,听懂得说人说哈!
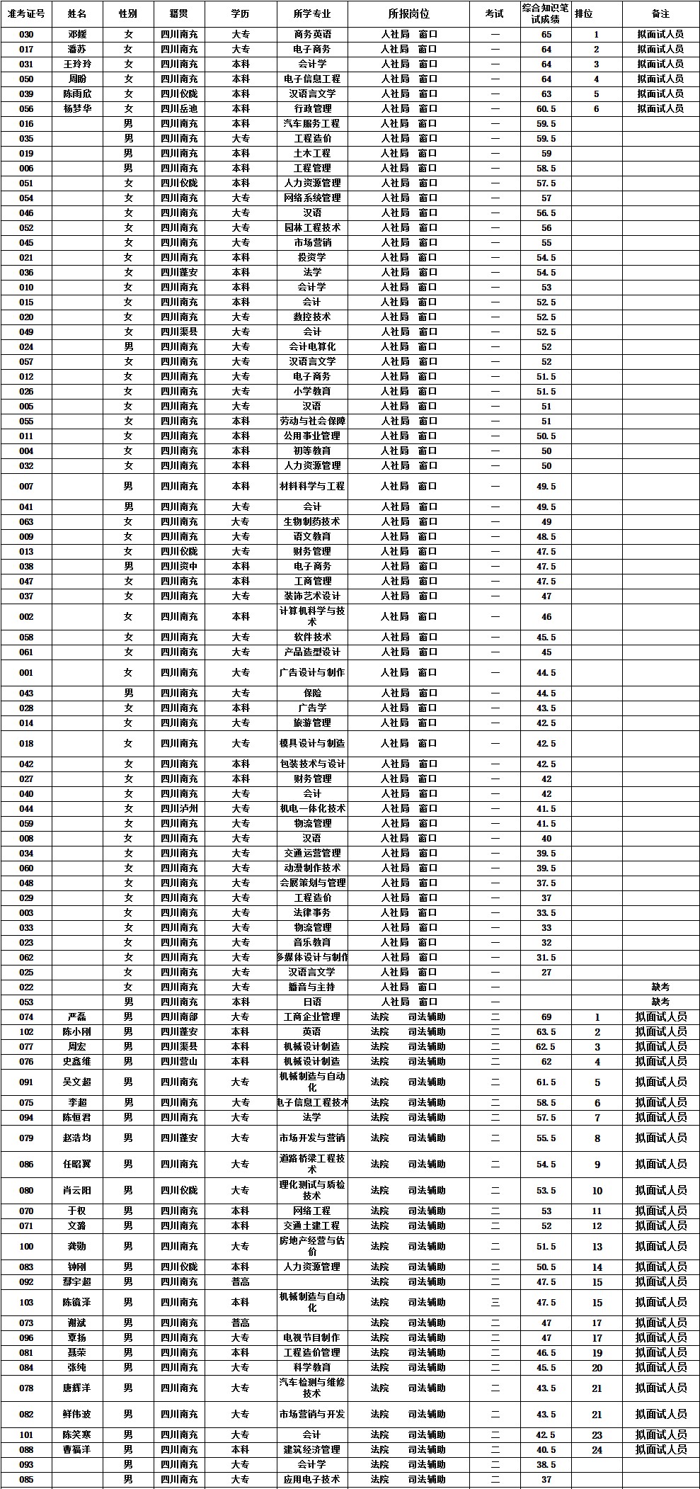
image.png
打赏

微信扫一扫,转发朋友圈

已有 52 人转发至微信朋友圈

   本贴仅代表作者观点,与麻辣社区立场无关。
   麻辣社区平台所有图文、视频,未经授权禁止转载。
   本贴仅代表作者观点,与麻辣社区立场无关。  麻辣社区平台所有图文、视频,未经授权禁止转载。

发表于 2021-9-2 11:35 来自麻辣社区客户端 | 显示全部楼层
营山现在常住人口62万,前几年户籍人口最高峰接近96万,流失人口达到34万!都是有原因的

发表于 2021-9-2 12:52 | 显示全部楼层
就业压力山大
(匿名发布)
(匿名发布)  发表于 2021-9-2 13:06
独孤郁 发表于 2021-9-2 11:35
营山现在常住人口62万,前几年户籍人口最高峰接近96万,流失人口达到34万!都是有原因的

常住人口跟户籍人口两个概念都没弄懂

发表于 2021-9-2 15:52 来自麻辣社区客户端 | 显示全部楼层
常住人口中有很多老人和小孩,流失人口基本都是年轻人!

发表于 2021-9-2 16:22 | 显示全部楼层
正常。
发表于 2021-9-2 16:47 | 显示全部楼层
正常

发表于 2021-9-2 16:47 | 显示全部楼层
整体上可能减少,但县城人口应该还是在增多,只是个人感觉,不一定准

发表于 2021-9-2 16:54 来自麻辣社区客户端 | 显示全部楼层
就是

发表于 2021-9-2 18:31 来自麻辣社区客户端 | 显示全部楼层

发表于 2021-9-7 15:38 | 显示全部楼层
又没有大型企业,就业是恼火喔

发表于 2021-9-8 09:02 | 显示全部楼层
关于“单位的合同工都这么多人报名”的问题:
1.政府机构的工作,即使是合同工业相对稳定。这种合同工也算是“铁饭碗”,只是碗里的饭相比之下很少...
解释:因为一个单位没有多余的编制就不能招录更多的公务员或事业编制人员,只能靠“政府购买服务”招聘合同工以弥补工作人员的不足。
2.小县城的私企(含餐饮、服装、服务业)一般工资较低,很多人都外出务工,大学生毕业后多不愿意从事服务业(短时间可以,长期就有待考虑了,至少我是这样想的),考公务员或事业单位一时半会业没有“上岸”,所以他们很多会选择暂时从事政府机构或事业单位的合同工,一边工作一边备考。

暂时就想到这些了,还有很多,比如有些家里做生意但希望子女有一个稳定工作的,也会让他们去报名合同工,虽然工资也不高
发表于 2021-9-8 18:00 来自麻辣社区客户端 | 显示全部楼层
匿名者 发表于 2021-9-2 13:06
常住人口跟户籍人口两个概念都没弄懂

是不是以户籍为准
高级模式 自动排版
您需要登录后才可以回帖 登录 | 注册

本版积分规则

复制链接 微信分享 快速回复 返回顶部 返回列表 关闭