麻辣社区-四川第一网络社区

校外培训 高考 中考 择校 房产税 贸易战
阅读: 4703|评论: 5

中央红军到四川以后,杨森给蒋介石的原始电报

[复制链接]

发表于 2021-10-28 17:21 | 显示全部楼层 |阅读模式
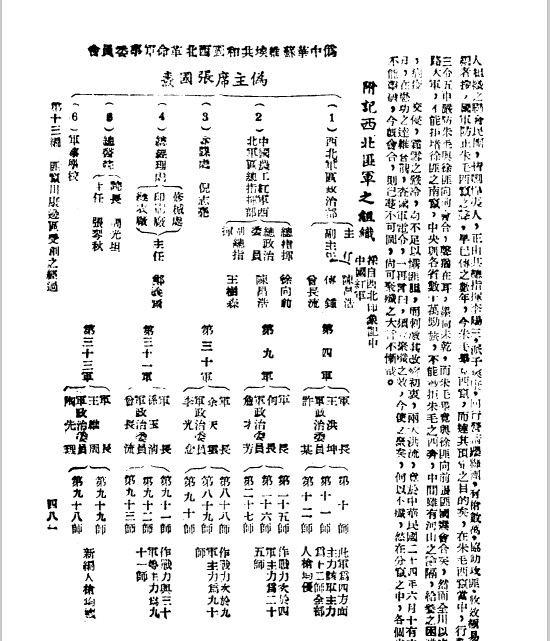
中央红军到四川以后,川军杨森给蒋介石的原始电报,有没有川军杨森的亲朋好友把文字大意提取出来? 0yangseng.png
打赏

微信扫一扫,转发朋友圈

已有 0 人转发至微信朋友圈

   本贴仅代表作者观点,与麻辣社区立场无关。
   麻辣社区平台所有图文、视频,未经授权禁止转载。
   本贴仅代表作者观点,与麻辣社区立场无关。  麻辣社区平台所有图文、视频,未经授权禁止转载。
 楼主| 发表于 2021-10-28 17:21 | 显示全部楼层
0y.png
 楼主| 发表于 2021-10-28 17:21 | 显示全部楼层
0b.png
 楼主| 发表于 2021-10-28 17:21 | 显示全部楼层
0a.png

发表于 2021-10-29 06:55 来自麻辣社区客户端 | 显示全部楼层
发表于 2021-10-31 10:39 | 显示全部楼层
字迹太小了,看不清
高级模式 自动排版
您需要登录后才可以回帖 登录 | 注册

本版积分规则

复制链接 微信分享 快速回复 返回顶部 返回列表 关闭