麻辣社区-四川第一网络社区

校外培训 高考 中考 择校 房产税 贸易战
阅读: 51351|评论: 130

[四川群众呼声] 高级法院犯低级错误难道是有意为之?

[复制链接]

发表于 2022-3-18 15:07 | 显示全部楼层 |阅读模式
@中国共产党四川省委政法委 @中国共产党四川省委纪监委
@四川省高级人民法院纪监组
一纸推翻南充市、区两级法院一审、二审判决,让当事人重新回到原点的判决书,居然出自于四川省高级人民法院某法官之手。
2022年2月,当事人赵涛收到四川省高级人民法院的判决书,又让历时三年多的马拉松式追回借款的诉讼付之东流,四川省高级人民法院于2021年12月29日作出的(2021)川民再283号民事判决书,保护的不是债权人赵涛的权利,相反让恶意拖欠拒绝执行财产的被执行人王松柏,有了转移财产的可乘之机。
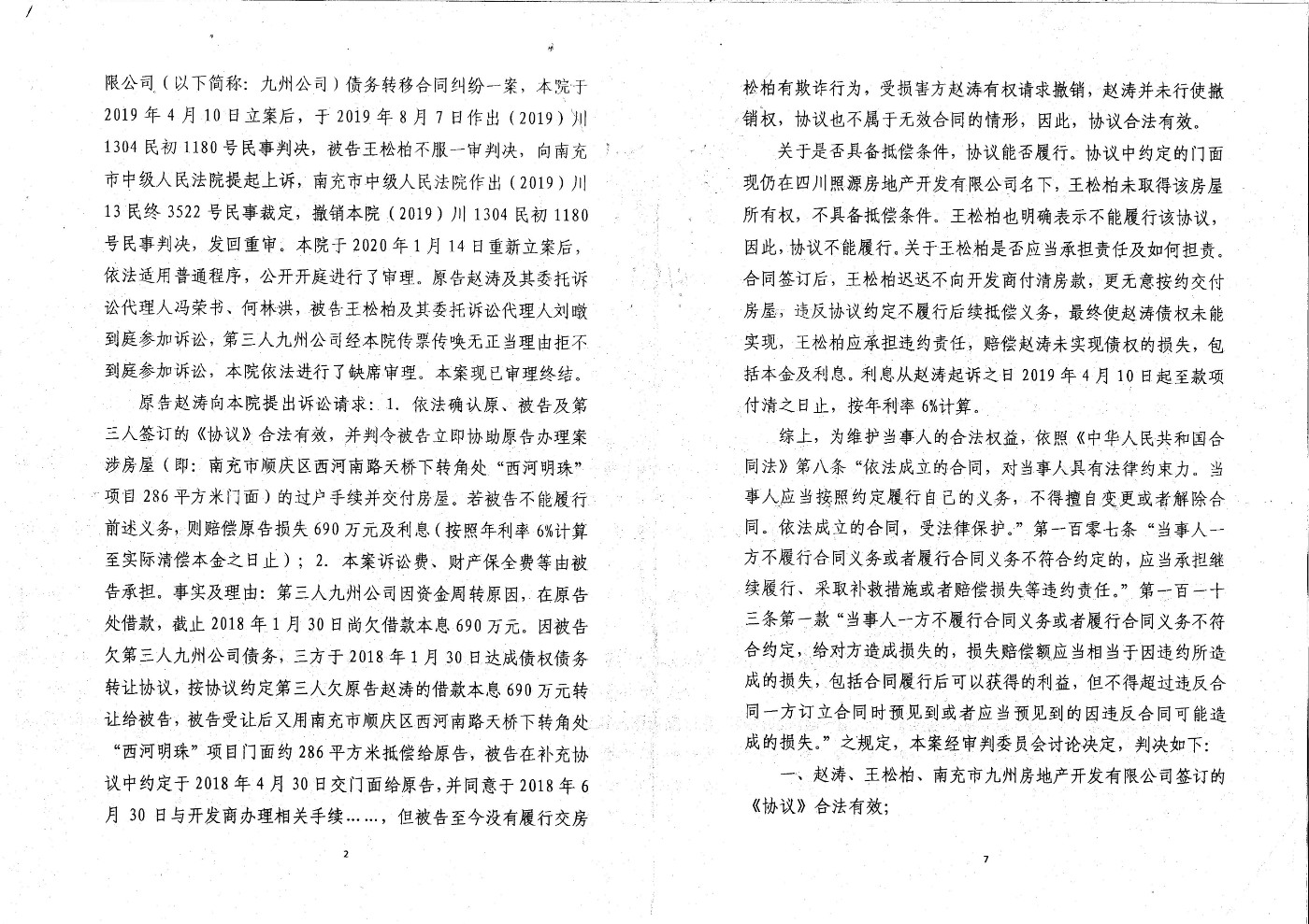
南充市、区两级人民法院,根据2018年1月30日的《协议》和《补充协议》内容(附图)。

王松柏与赵涛之间形成以物代偿的法律关系(案涉《协议》第1条约定:丙方(即赵涛)同意以乙方(即王松柏)在南充市顺庆区西河南路天桥下转角处“西河明珠”门面286㎡,作价800万进行抵偿);赵涛与九州公司债权债务关系了结(案涉《协议》第1条约定:全面了结甲方(即九州公司)与丙方(即赵涛)的经济关系);王松柏与九州公司形成债权债务关系(案涉《协议》第3条约定:乙方(即王松柏)对丙方(即赵涛)所承担的800万元资金在甲、乙双方(即王松柏、九州公司)的经济往来中结算扣减,因甲方(即九州公司)原因给乙方(即王松柏)构成损失,由甲方向乙方全额承担)。依法判处王松柏限期履行《协议》义务,结果王松柏拒绝履行,后赵涛依法申请强制执行,法院依法封存了王松柏部分财产。
看来南充市、区两级人民法院的一审、二审依法判决没有任何偏离法律法规的问题,但是被告王松柏对自己认可的债权债务转移《协议》提出反悔,并且上诉至四川省高级人民法院,通过一系列操作(这里不便公布情节),四川省高级人民法院于2021年12月作出一个很神奇的判决,既判决南充市、区两级人民法院根据债务转移《协议》判决的一审、二审判决书无效,同时又判决《协议》有效,真是滑天下之大稽,让当事人重新回到原点。
最高人民法院认为:当事人于债务清偿期届满后达成的以物抵债协 可能构成债的更改,即成立新债务,同时消灭旧债务;亦可能属于新便清偿,即成立新债务,与旧债务并存。基于保护债权的理念,债的更改一般需有当事人明确消灭旧债的合意,否则,当事人于债务清偿期届满后达成以物抵债协议,性质一般应为新债清偿。本案中,各当事人在《协议》中虽并未明确未履行以房抵债的法律责任,但基于保护债权的理念,也应当认定为新旧债并存,而不是消灭新债,恢复旧债。
其中是否有猫腻,明眼人都可以看出来,被告王松柏在法院撤销强制执行后,大肆转移财产,有意回避自己的债务,四川省高级人民法院保护了无诚信且违背道德的不法人员,给合理合法维权的公民留下对国家司法公正的遗憾,给当事人家庭带来了无穷无尽的精神物质灾难。
希望四川省各相关部门认真清查其中的渎职行为,保护国家机器健全健康履行职责,让人民法庭真正为人民服务!(具体情况说明请联系当事人)

事件当事人:赵涛,男,汉族,1963年3月27日出生,现住西充县晋城镇建设路66号1单元501室,联系电话:13508277576
                                           2022年3月17日







图像-01.jpg

图像-02.jpg



一审2.jpg

图像-18.jpg



二审2.jpg





打赏

微信扫一扫,转发朋友圈

已有 410 人转发至微信朋友圈

   本贴仅代表作者观点,与麻辣社区立场无关。
   麻辣社区平台所有图文、视频,未经授权禁止转载。
   本贴仅代表作者观点,与麻辣社区立场无关。  麻辣社区平台所有图文、视频,未经授权禁止转载。
发表于 2023-6-18 09:54 | 显示全部楼层
法律是保护统治阶级利益的,并不是保护老百姓利益的。
统治阶级要贪腐,法律就维护贪腐
统治阶级要公正,法律就维护公平正义
发表于 2023-6-9 16:38 | 显示全部楼层
高院的水很深

发表于 2023-6-5 08:49 来自麻辣社区客户端 | 显示全部楼层

发表于 2023-1-10 11:20 来自麻辣社区客户端 | 显示全部楼层

发表于 2023-1-10 04:36 来自麻辣社区客户端 | 显示全部楼层

发表于 2022-11-29 02:01 来自麻辣社区客户端 | 显示全部楼层

发表于 2022-11-2 23:32 来自麻辣社区客户端 | 显示全部楼层
这个王松柏背景深厚,名下还有劳斯莱斯等豪车,商业用房等财产。楼主小心应对啊

发表于 2022-11-2 23:31 来自麻辣社区客户端 | 显示全部楼层
严查

发表于 2022-4-14 07:29 来自麻辣社区客户端 | 显示全部楼层

 楼主| 发表于 2022-4-8 17:34 来自麻辣社区客户端 | 显示全部楼层
一个当事人要求见本案的审理案件的法官难道真难吗,案后答疑都这样难。

发表于 2022-4-2 11:37 | 显示全部楼层
感觉蹊跷又说不明白。
(匿名发布)
(匿名发布)  发表于 2022-4-1 12:36
想听司法解释。

发表于 2022-3-31 19:41 来自麻辣社区客户端 | 显示全部楼层
我们现在是生活在中国共产党领导下的国度,是法制社会,是公平公正公开的国家,人民的利益高于一切,债权人真的是无语又无奈!!!

(匿名发布)
(匿名发布)  发表于 2022-3-31 11:31
嵇煽蜀 发表于 2022-3-30 20:55
公平公正是各级人民法院的宗旨,更是高级法院的定海神针!切不可让老百姓吃亏,让没有所谓关系的人流泪!

如果凭关系打官司,这社会就无进步可言。

发表于 2022-3-30 20:55 来自麻辣社区客户端 | 显示全部楼层
公平公正是各级人民法院的宗旨,更是高级法院的定海神针!切不可让老百姓吃亏,让没有所谓关系的人流泪!

(匿名发布)
(匿名发布)  发表于 2022-3-30 10:36
过程漫长,要推翻省高院判决,当事人要有心理准备。

发表于 2022-3-29 21:34 来自麻辣社区客户端 | 显示全部楼层
不管有什么猫腻,法律是维护公平公正的武器,应该保护人民群众的利益不受侵害!!!

发表于 2022-3-29 21:03 来自麻辣社区客户端 | 显示全部楼层
省高院的判决为何与市区两级法院判决相差如此之大?

发表于 2022-3-29 20:58 来自麻辣社区客户端 | 显示全部楼层
这样下去,什么时候才能有个结果呢,难道就这么拖下去?

发表于 2022-3-29 19:21 来自麻辣社区客户端 | 显示全部楼层
高级模式 自动排版
您需要登录后才可以回帖 登录 | 注册

本版积分规则

复制链接 微信分享 快速回复 返回顶部 返回列表 关闭